This site has limited support for your browser. We recommend switching to Edge, Chrome, Safari, or Firefox.

FREE SHIPPING IN THE USA

Cart 0

No more products available for purchase

Products
Pair with
Is this a gift?
Subtotal Free
View cart
Shipping, taxes, and discount codes are calculated at checkout

Your Cart is Empty

Peer-Reviewed Scientific Publications

Published research examining the probiotic strains, prebiotic components, and biological systems that inform Kurva Pro.

Highlighted Research

Citrus Flavonoid Extract Modulates Intestinal Metabolic Responses

Human Clinical Study
Source:Foods, 2023

This human clinical study examined how a flavonoid-rich citrus extract influences intestinal metabolic responses in adults with features of metabolic syndrome. Results showed favorable changes in gut-related metabolic activity, supporting the role of citrus-derived polyphenols in metabolic regulation through intestinal pathways.

MED-02 (MG4231 + MG4244) Reduces Body Fat in Overweight Adults

Randomized Human Clinical Trial
Source:Nutrients, 2022

In this multicenter randomized controlled trial, supplementation with MED-02 led to significant reductions in body fat mass, body fat percentage, and body weight compared to placebo. Body composition was assessed using validated clinical methods, reinforcing the relevance of these human-derived probiotic strains in body fat regulation.

PDF >

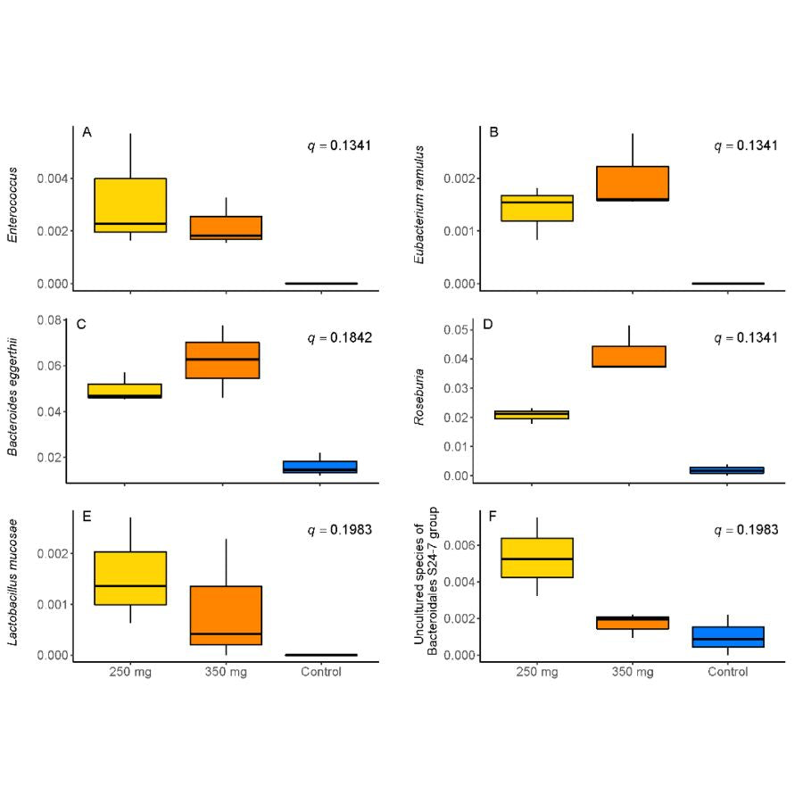
HY7601 + KY1032 Improve Gut Microbiota and Metabolic Markers

Randomized Human Clinical Trial
Source:Nutrients, 2022

This randomized human trial evaluated the effects of kimchi-derived probiotic strains on body weight and gut microbiota composition. The study reported changes in microbial profiles alongside metabolic markers associated with overweight, supporting a link between targeted probiotics and gut-mediated metabolic regulation.

Citrus Polyphenol Extract Selectively Modulates Gut Microbiota

Mechanistic Microbiome Study
Source:Nutrients, 2021

Using a validated human colon model, this study demonstrated that a polyphenol-rich citrus extract selectively modulates gut microbiota composition. The findings provided early evidence of prebiotic activity without disrupting overall microbial balance.

Citrus Flavanones and Their Interaction With the Gut Microbiome

Peer-Reviewed Scientific Review
Source:Nutrients, 2019

This peer-reviewed review examined how citrus flavanones are metabolized in the gut and their effects on gastrointestinal health. The paper synthesized evidence linking flavonoids to microbiota modulation, gut barrier integrity, and downstream metabolic signaling.

HY7601 + KY1032 Inhibit Adipogenesis in Adipocyte and Liver Cells

Cell / Mechanistic Study
Source:Journal of Medicinal Food, 2018

This cellular study investigated the effects of HY7601 and KY1032 on fat cell development and lipid accumulation. Results showed inhibition of adipogenesis in adipocyte and liver cell models, offering mechanistic insight into pathways relevant to body fat regulation.

PDF >

HY7601 + KY1032 Reduce Body Fat and Adiposity in Adults

Human Clinical Trial
Source:Journal of Functional Foods, 2015

This randomized, placebo-controlled human study examined the effects of HY7601 and KY1032 supplementation on body fat in overweight adults. Participants receiving the probiotic blend experienced significant reductions in body fat mass and adiposity compared to placebo, supporting the role of these targeted strains in human fat regulation.

PDF >

HY7601 + KY1032 Lower Triglycerides and Improve Lipid Markers

Human Clinical Trial
Source:Nutrition, Metabolism & Cardiovascular Diseases, 2015

This clinical study reported reductions in fasting triglycerides and associated lipid metabolites in nondiabetic, hypertriglyceridemic subjects. The findings supported a role for specific probiotic strains in lipid metabolism and cardiometabolic health.

PDF >

KY1032 Inhibits Adipocyte Differentiation in Fat Cell Models

Foundational Cell Study
Source:Atherosclerosis, 2015

A 12-week randomized, double-blind, placebo-controlled clinical trial in 128 non-diabetic adults with borderline to moderate hypertriglyceridemia. Compared with placebo, probiotic supplementation produced an 18.3% reduction in fasting triglycerides, with increases in apolipoprotein A-V and LDL particle size, supporting clinically relevant effects on lipid metabolism.

* The publications listed here were conducted by independent research teams and published in peer-reviewed scientific journals. They examine specific probiotic strains, prebiotic technologies, and biological mechanisms relevant to gut, fat, metabolic, and energy-regulating systems, including areas of preventive metabolic health such as obesity.

{"statementLink":"","footerHtml":"","hideMobile":false,"hideTrigger":false,"disableBgProcess":false,"language":"en","position":"left","leadColor":"#146ff8","triggerColor":"#146ff8","triggerRadius":"50%","triggerPositionX":"right","triggerPositionY":"bottom","triggerIcon":"people","triggerSize":"medium","triggerOffsetX":20,"triggerOffsetY":20,"mobile":{"triggerSize":"small","triggerPositionX":"right","triggerPositionY":"bottom","triggerOffsetX":10,"triggerOffsetY":10,"triggerRadius":"50%"}}
false